搜 索
首 页
练习与测试答案
补充习题答案
课课练答案
同步练习答案
阅读答案
电子课本
更多
其他答案
课件下载
试卷练习
教学反思
说课稿
录音下载
教案下载
作文范例
简笔画下载
教学视频
语文知识
班主任资料
教材
其他资料
找学校
零五网
›
全部参考答案
›
七年级蓝色时光暑假作业数学 55页
七年级蓝色时光暑假作业数学 55页
信息发布者:Sarah789
15. 3/5
16. 4
17. -0.0000218
19. 64
三、
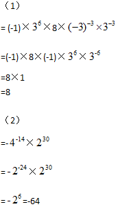
20.
21.
本页答案点评
提交
重置
用户评论
我要纠错
×
纠错内容